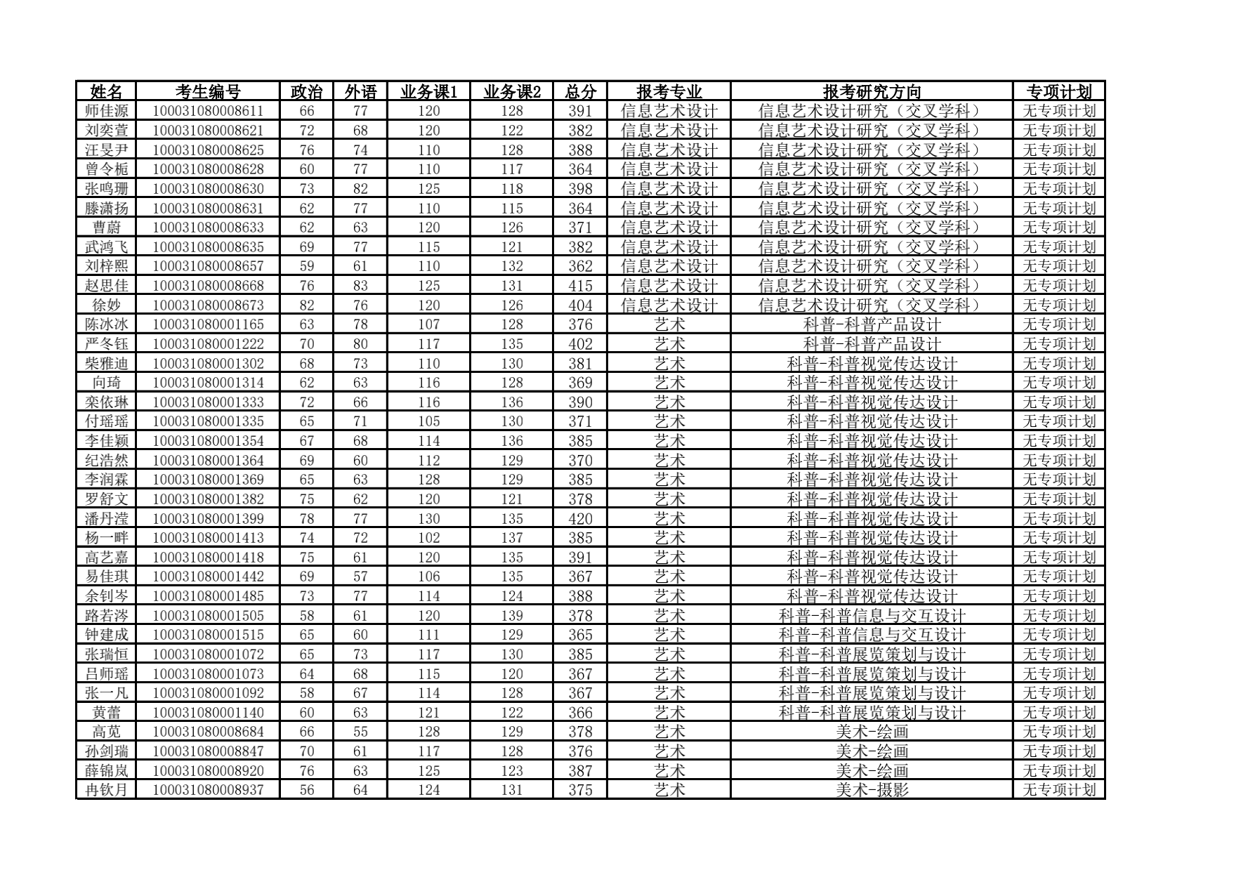
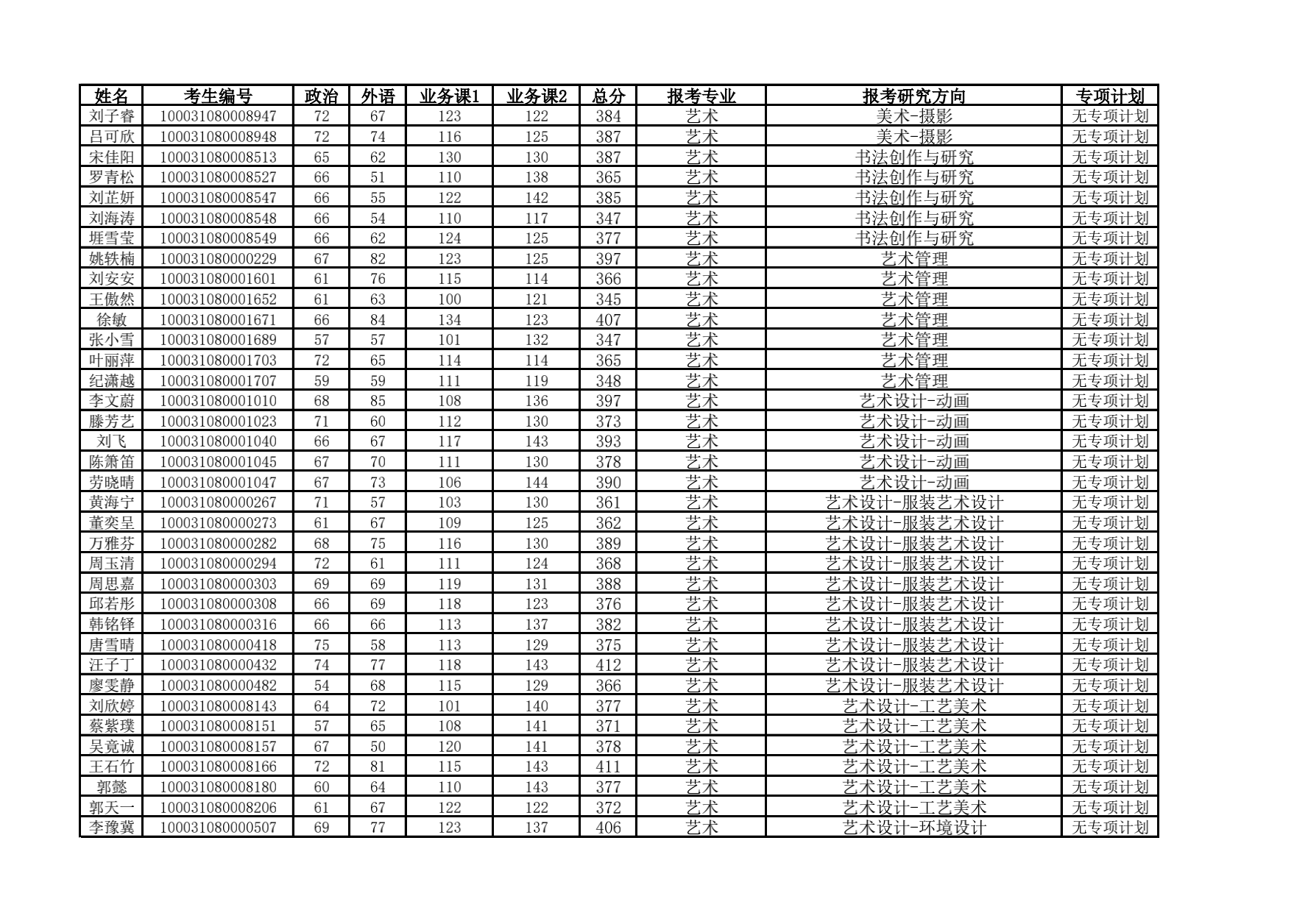
清华大学美术学院2021年考研复试名单公布 发布时间:2021-03-12 清华大学美术学院2021年考研复试名单公布 上一篇:清华大学美术学院2021年考研复试线及复试安排公告 下一篇:清华大学2022年工业设计考研真题(回忆版):620中外工艺美术史及现代设计史