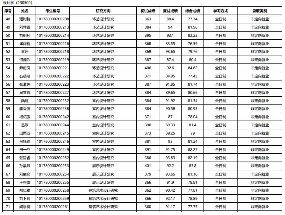
鲁迅美术学院建筑艺术设计学院2020年考研录取名单公示 发布时间:2020-06-02 鲁迅美术学院建筑艺术设计学院2020年考研录取名单公示 上一篇:鲁迅美术学院视觉传达设计学院2020年考研录取名单公示 下一篇:鲁迅美术学院工业设计学院2020年考研录取名单公示